来源 :普利制药3006302024-05-14
近日,普利制药收到国家药品监督管理局签发的诺为?马来酸曲美布汀片一致性评价的批准通知,标志着此产品通过仿制药质量和疗效一致性评价,将为公司拓展国内市场带来积极影响。
诺为?马来酸曲美布汀片不仅是首个通过仿制药一致性评价,更是中国第一个出口的马来酸曲美布汀制剂。据公开信息,该产品已于 2023 年 5 月获得加拿大上市许可,并于 1 月 28 日开始向加拿大首批供货。

No.1
研发及市场介绍
研发信息
原研信息:马来酸曲美布汀是由法国Jouveinal公司研发的胃肠解痉药,片剂于1970年首次在法国上市。目前国内无马来酸曲美布汀片原研产品获批进口。
研发思路:马来酸曲美布汀是一种合成的抗胆碱能药物,通过非竞争性抑制由于乙酰胆碱引起的收缩作用,以用于治疗胃肠功能紊乱(食欲不振、恶心、呕吐、嗳气、腹胀、腹痛、腹泻、便秘等症状)及肠易激综合征。
市场介绍
据IMS统计,马来酸曲美布汀制剂2022年全球销售31.2亿片,中国销售3.3亿片。
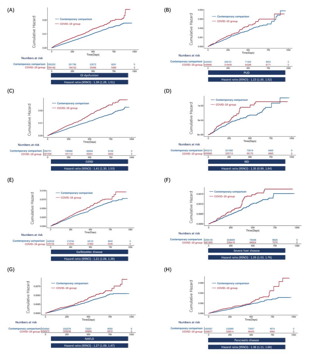
广东省人民医院消化内科沙卫红教授发表在BioMed Central的一项研究[1]表明,COVID-19 与胃肠道功能障碍(GI dysfunction)、胃食管反流病(GERD)和其他消化系统疾病的风险增加之间存在显着关联。


一方面,COVID-19患者在急性期会出现胃肠道症状,据报道,所有消化系统症状的患病率高达9.8%(腹泻为10.4%,恶心为7.7%,腹痛为6.9%)。另一方面,即使在 1 年的随访后,胃肠道功能障碍(GI dysfunction)和胃食管反流病(GERD)的风险仍然存在,这表明 COVID-19 对特定消化系统疾病风险的长期影响。
从以上全球的销售数据也验证了这一点,马来酸曲美布汀制剂自2020年以来全球销售数量逐年增长明显,并高于新冠之前。而中国2022年销售数量小幅下滑,推测这主要得益于政府对疫情的有效管控。随着中国管控的放开,参照先一步放开的其他国家的销售数据,国内对马来酸曲美布汀片的需求将进一步增加。
No.2
普利制药

高品质普利造!
海南普利制药股份有限公司于1992年成立于海口,是中国医药制剂国际化先导企业和国家工信部智能制造示范企业,已被国家工信部纳入工业转型升级中国制造2025年儿童药重点项目企业。2017年在创业板上市后,现已成为中国上市公司科技创新百强企业,并于2023中国医药工业发展大会荣登荣“2023年中国医药工业最具投资价值企业”榜单。
普利制药从事药品国际化开拓15年来,共有左乙拉西坦注射用浓溶液、注射用比伐芦定、注射用阿奇霉素、注射用伏立康唑、注射用更昔洛韦、注射用泮托拉唑钠、注射用盐酸万古霉素、硝普钠注射液、依替巴肽注射液、特利加压素注射液、左氧氟沙星片、地氯雷他定片、双环胺注射液、地氯雷他定干混悬剂、阿奇霉素干混悬剂、氟康唑干混悬剂、伏立康唑干混悬剂、磷酸奥司他韦胶囊等38个产品在美国、欧洲以及东南亚等国家成功注册,已获得140多个国际制剂上市许可!