来源 :爱美客IMEIK2025-10-21
2025年10月11日,爱美客成功完成首个化妆品新原料的备案。此次备案的核心成分“甘草查尔酮A”,源自于中国特色植物,备案号为“国妆原备字20250124”。这标志着公司在化妆品领域的战略布局迈出坚实一步,展现了公司在美丽健康领域持续深耕的决心与实力。
公司始终将研发创新作为核心驱动力,研发投入持续增长。作为国内医美行业的领军企业,爱美客凭借其在生物医药领域的深厚积累,将科研优势延伸至化妆品赛道。此次中国特色植物新原料的获批,不仅展现了公司融合本土资源与科研创新的实力,也印证了公司在化妆品领域战略布局的稳步推进。

图片来源:国家药监局公示平台
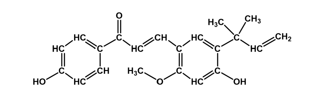
甘草查尔酮A,植物单体化妆品新原料
甘草(Glycyrrhiza L.)是中国传统的中药,在中国已有二千多年的药用历史,后世中医里所说的“十方九草”,“无草不成方”中的“草”指的均是甘草。甘草中含有甘草酸、甘草次酸、甘草苷、异甘草次苷、甘草黄酮类、多糖等多种生物活性成分。
以胀果甘草根为原料,采用植物提取工艺得到高纯度甘草查尔酮A,是一种具有多种生理活性的黄酮类化合物,经安全评价和功能评估,该原料可作为皮肤保护剂和保湿剂用于化妆品中。

未来,爱美客将持续加大研发投入,依托其在医美领域积累的技术优势,推动化妆品业务的创新发展,为消费者带来更安全、更高效、更优质的美丽解决方案。